
公式章 1 节 1基于旋向解耦多极化可编程超表面的自适应智能电磁调控系统
指导老师:许河秀
一、研究背景
随着5G通讯技术的快速发展,多极化天线系统在该领域中扮演着关键角色。因此,对设计具有超高集成度和动态波束扫描的天线系统提出了更高的要求。然而,目前报道的超表面天线设计主要基于单一极化的无源超表面,其功能与性能固定不可变,难以满足新一代通讯系统对超高集成和动态近远场调控的重大需求。同时,在特定环境下,自适应电磁调控的实时呈现为加密通信和军事等领域提供了十分广阔的应用前景。为了解决传统天线系统面临单一极化与功能受限的难题,并实现自适应波束扫描与全息成像,基于旋向解耦多极化可编程超表面设计了自适应智能电磁调控系统。
二、创新特色

三、核心技术


四、系统测试结果
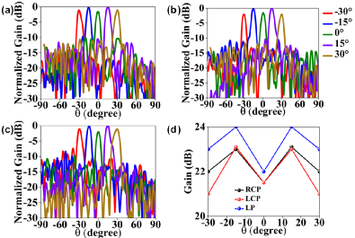
深度相机获取到不同位置处人的直角坐标和球坐标位置信息与不同物体的类别信息,如图4所示,将其通过SDR模块进行信息传输,最终通过GS算法解码后得到相位分布,根据人不同位置信息测试所得自适应波束扫描结果如图5所示,RCP(LCP和x极化)波入射下,15°方向上主波束的最大测量增益为23 dB(23 dB和24 dB),对应于28.32%(28.32%和22.50%)的孔径效率,可以实现目标定位。根据不同物体的类别信息,如:键盘、鼠标、剪刀与水杯,实现的自适应全息成像如图6所示,可以实现目标识别,全息成像功能的总效率(全息图像中总电场与总入射场强度之比)和信噪比(全息图像中最大电场强度与背景噪声场的标准差之比)约为50%和3。

图4 深度相机获取目标信息结果

图5 系统不同极化通道下自适应波束扫描结果(目标定位)

五、结语

多功能电磁集成技术科技创新团队,长期从事超材料/超表面理论、红外应用关键技术研究。负责人许河秀,空军工程大学教授/博导。陕西省科技创新团队负责人,英国皇家航空学会会士、英国电气工程师学会会士。授权第1发明人专利40项。在自然、科学子刊等刊物发表SCI论文150篇,论文谷歌引用8000余次。被全球无线电联盟等权威组织授予国际青年科学家奖6项,获中国专利奖、中国发明协会发明创新奖一等奖(2项)、陕西高等学校科学技术特等奖(3项)、电子学会自然科学奖、中国青年科技创新奖、《Nature LSA》杰出论文奖、《Research》年度最佳论文奖、中国科协优秀论文奖、中国电子信息领域优秀科技论文奖和陕西省自然科学优秀论文奖等奖项18项。在国际会议做大会报告、特邀报告60余次,连续4年入选者入选爱思唯尔全球高被引学者榜单和全球前2%顶尖科学家终身科学影响力榜单。曾入选陕西省高层次‘特支计划’、科技领域‘西安之星’、陕西省高校“青年杰出人才”、陕西省知识产权工作先进个人、电子学会优秀科技工作者、陕西省青年科技新星等。目前是中国电子学会理事会理事,担任《Research》和《IEEE Photonics Journal》等7份国内外SCI源刊副主编和编委。





