
指导教师:赵俊明、陈克
本文提出了一种在低可调元件密度下,能独立工作于双线极化的2比特智能超表面,并将其应用于多极化反射阵天线设计,通过仿真和实验验证了该设计的有效性。在未来通信技术研究中,该智能超表面技术有望为卫星通信、智能交通、物联网设备交互以及无人机通信等场景带来新的解决方案。
一、研究背景
第五代移动通信(5th Generation Mobile Communication Technology, 5G)技术的快速发展,推动了全球通信网络的迭代升级。它通过融合智能感知、智能识别和边缘计算等多种技术,在虚拟现实、智慧城市、工业自动化、医学诊疗等多个领域发挥了重要的基础性作用[1]。现有的5G网络架构大多利用多输入多输出(Multiple-Input Multiple-Output, MIMO)天线作为基站天线,对其进行高密度部署,并且结合动态波束赋形、频谱复用和智能资源分配等方式,有效地提升通信系统的容量、性能和数据传输效率[2]。然而,高密度的MIMO天线部署会让系统复杂性、成本和能耗急剧提升。因此,为了能够开发出高效率、低成本和低功耗的未来网络架构,智能超表面作为一种新型的人工电磁结构而备受研究人员的关注。如图1所示,在未来通信技术研究中,智能超表面技术正为智能交通、物联网设备交互、无人机通信等场景带来创新的解决方案[3]。

图1 智能超表面技术在5G+和6G通信技术的支持下,正为智能交通、物联网设备交互、无人机通信等场景带来创新的解决方案[3]
二、低可调元件密度的2比特智能超表面设计
为了解决智能超表面可调状态数不足的问题,基于对超表面单元的等效电路分析,我们提出了一种2比特双极化独立调控的超表面设计方法。通过将馈线融入超表面设计,并充分利用p-i-n二极管的可调控状态,使得智能超表面具有低成本、高调控自由度和可设计性的优势。我们将其应用于可重构反射阵天线中,成功实现了双线极化和双圆极化的大角度波束扫描功能。它为复杂电磁环境下的通信系统提供了一种新的有效设计策略。

图2 研究目的与技术途径示意图
-
单元设计
图2展示了所提出的智能超表面单元,它由两层有源层和金属地组成。为了保持单元的高极化纯度并且防止极化旋转,有源层的交叉臂和外部槽环结构都具有镜像对称性和旋转对称性。两个有源层的结构相似,但尺寸有所不同。由于结构设计遵循了旋转和镜像对称的原则,单元在工作频带内具有较低的交叉极化幅度,以确保在两个正交线极化模式中单元具有一致性能。单元中的四个p-i-n二极管均位于交叉臂的中心,编号分别为D1~D4,能够使用FPGA分别进行直流偏置,实现16种不同的状态。若使用“1”表示ON状态,而“0”则表示OFF状态,那么单元能够得出16种不同的状态。若使用D3 D1/D4 D2二极管的通断表示单元状态,则分别有如下编码00/00, 01/00, 10/00, 11/00, 00/01, 01/01, 10/01, 11/01, 00/10, 01/10, 10/10, 11/10, 00/11, 01/11, 10/11, 11/11。其中,D3和D1控制y极化响应,D4和D2控制x极化响应。在实际应用中,我们希望使用较少数量的可重构器件,以减小系统的复杂性并且降低加工成本。这意味着单元的周期尺寸没有必要限制在亚波长尺度上。因此,在不影响阵列功能的情况下,该单元周期近似为0.4λ0。

图2 双极化独立2-bit智能超表面单元示意图:(a)三维结构;(b)第一有源层的上表面;(c)第一有源层的下表面;(d)第二有源层的上表面;(e)第二有源层的下表面。
单元在x和y极化下的频率响应如图3所示。对于两个线极化模式,在3.48 GHz附近,相邻状态的相位差接近90°,并且幅度大于0.84。图3(c)展示了法向入射下,16种状态的交叉极化反射性能。正入射时交叉极化反射系数在所有状态下均低于−44 dB。这表明单元在两个正交线极化模式下具有独立2-bit相位调控能力,同时具有高的高极化纯度。

图3 不同状态下单元的同极化反射系数:(a)x极化法向入射波;(b)y极化法向入射波。(c)交叉极化反射系数。
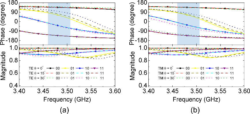
由于单元的电磁响应在x极化和y极化具有独立和对称性,为了清晰起见,在接下来的部分我们主要描述这四种状态(00/00, 01/01, 10/10, 11/11)单元的性能。图4展示了单元对斜入射的敏感性,分别描述了在横电模式(TE)入射波和横磁模式(TM)入射波的电磁响应。从图中能够得出在斜入射的不同状态下,单元反射幅度均高于0.83;即使在入射角达到30°,反射相位仍然稳定,特别是00和11状态。这种稳定的斜入射性能有利于可重构反射阵的大角度波束扫描。

图4 斜入射下单元的反射系数:(a)TE模式;(b)TM模式。
-
机理研究


图5 (a)单元的等效电路模型;(b)全波仿真和等效电路计算结果;(c)单元有源层阻抗。A1:第一有源层;A2:第二有源层;0:OFF状态;1:ON状态。等效电路中的电容、电感和电阻预估为以下参数,对于第一有源层,ls1 = 4.25 nH,cs1 = 0.11 pF,la1 = 4.52 nH,ca1 = 0.33 pF,rs1 = 0.20 Ω,并且ra1 = 0.33 Ω;对于第二有源层,ls2 = 4.25 nH,cs2 = 0.21 pF,la2 = 3.59 nH,ca2 = 0.26 pF,rs2 = 0.23Ω,并且ra2 = 0.20 Ω;介质层和空气层的参数是Zs = 197.06 Ω,Z0 = 377 Ω;另外,在3.48 GHz频率处,θs = 2.02°,θ1 = 25.0°,并且θ2 = 121.1°。
三、可重构反射阵天线应用
图6是本章提出的可重构反射阵天线结构示意图,天线的口径面由16 × 16个智能超表面单元组成。每一个单元能够实现在两个正交线极化模式的2-bit相位独立调控。同时,我们设计了一种双线极化的Vivaldi天线作为馈源,位于阵列口径面中心,以辐射x和y极化波。可重构反射阵天线能够通过调整编码序列,以同时辐射x和y极化波束,并且合成左旋圆极化或右旋圆极化波束。若使用该天线系统作为接收端,那么任意极化电磁波入射都能被分解为x和y极化分量,而无需实时的极化对准。

图6 利用FPGA控制的2-bit双极化独立的可重构反射阵天线,实现波束扫描角度和极化的动态切换。
为了进行实验验证,我们使用PCB和SMT表贴工艺进行样品加工。图7(a)显示了所加工的超表面和各部分结构。结构中有1024个p-i-n二极管,它们都能够利用FPGA进行独立地偏置控制。所提出的可重构反射阵天线在微波暗室中进行测量,如图7(b)所示。

图7 (a)双极化独立可重构2-bit超表面样品;(b)微波暗室中进行测量。
我们验证了反射阵天线在双线极化下xoz和yoz平面的波束扫描性能,波束的俯仰角以15°为间隔覆盖了−60°到60°的空域范围。如图8所示,在±60°的范围内,反射阵天线实现了良好的波束扫描性能。
图9展示了在x和y极化的辐射模式下,法向波束仿真和测试的增益-频率曲线图。在x和y极化模式,在3.48 GHz处测试的增益分别是20.1 dBi和20.2 dBi,相应的口径效率分别是19.3%和19.7%。x和y极化模式的3 dB增益带宽分别是200 MHz和160 MHz,对应相对带宽5.7%和4.6%。

图8 在3.48 GHz处测试的归一化辐射方向图,扫描范围覆盖±60°:(a)x极化模式在xoz平面的波束扫描(E面);(b)x极化模式在yoz平面的波束扫描(H面);(c)y极化模式在yoz平面的波束扫描(E面);(d)x极化模式在xoz平面的波束扫描(H面)。

图9 在x和y极化辐射模式下法向波束仿真和测试的增益和口径效率。
此外,我们设计并验证了该反射阵天线的圆极化单波束扫描能力,通过调整在两个极化通道的初始相位并结合多次测试结果反馈,能够得到适用于圆极化波束扫描的相位编码。图10表示了在3.48 GHz处的yoz平面上,右旋圆极化和左旋圆极化模式下仿真和测试的归一化辐射方向图和轴比,在主波束上具有良好的一致性。由图中可知,可重构反射阵列天线具有在−45°~0°的俯仰角范围内实现双圆极化波束扫描能力。波束的扫描损耗在右旋圆极化和左旋圆极化模式下分别低于2.7 dB和2.8 dB。同时,这些主波束的轴比均低于3 dB,表现出良好的圆极化特性。图11显示了右旋圆极化和左旋圆极化辐射模式在不同频率下仿真和测量的增益曲线。它们的3 dB增益带宽约140 MHz,相对带宽4%。

图10 在yoz平面实现圆极化波束扫描的测试结果:(a)右旋圆极化模式的归一化辐射方向图;(b)右旋圆极化模式的轴比;(c)左旋圆极化模式的归一化辐射方向图;(d)左旋圆极化模式的轴比。实线:测试结果;虚线:仿真结果。

图11 在左旋圆极化和右旋圆极化辐射模式下,仿真和测试的增益和口径效率。
四、总结与展望
本文提出了一种结构简单的双极化2-bit可重构反射阵结构,它能够辐射双线极化和双圆极化电磁波。可重构单元包括四个p-i-n二极管和两个有源层。p-i-n二极管的所有的16种开关状态都能够有效地进行可重构设计。可重构反射阵天线的仿真和实验测试表明,它能在双线极化辐射模式下实现了±60°,以及双圆极化辐射模式下±45°的波束扫描范围。总的来说,所提出的可重构反射阵天线在实现多极化辐射模式和宽波束扫描范围等方面都具有较大的潜力。基于此,它有望应用于卫星通信、5G通信中的智能反射面或基站天线等领域。
五、其他相关文章信息
-
赵玮晴,现南京大学电子科学与工程学院2023级电子科学与技术专业研究生。
研究方向:可重构电磁超表面及其在RCS缩减的应用。
-
段坤,现南京大学电子科学与工程学院2020级电子科学与技术专业研究生。研究方向:电磁超表面及其在反射阵列和发射阵列天线以及可重构天线中的应用。
-
张森,现南京大学电子科学与工程学院2022级电子科学与技术专业研究生。研究方向:电磁超材料与超表面在低散射平台中的应用。
-
樊晨禧,现南京大学电子科学与工程学院2022级电磁场与微波技术专业研究生。
研究方向:多频谱兼容电磁超表面。
-
王佳豪,现南京大学电子科学与工程学院2022级电磁场与微波技术专业研究生。
研究方向:自旋解耦超表面的设计与应用研究。
-
赵俊明,南京大学教授、博士生导师,IEEE天线与传播学会会员,EPJ Metamaterials编委,入选国家级青年人才计划、江苏省“333工程”第三层次人才。主持国家自然科学基金、教育部博士基金等项目,并参与国家自然科学基金重大专项、科技部重点研发计划等。主要研究方向包括电磁超材料和超表面及其在新型微波功能器件中的应用。 -
陈克,南京大学副教授、博士生导师。已经发表100余篇期刊论文,授权发明专利10余项。先后主持了国家自然科学基金面上/青年项目、教育部、科研院所及企业等十余个项目和课题。曾获江苏省高校青蓝工程优秀青年骨干教师、小米青年学者、国际无线电科学联盟青年科学家奖、中国电子教育学会优秀博士学位论文等荣誉。主要研究方向包括人工电磁材料理论与设计、电磁超表面及其新型电磁器件与应用等。
–本文完–





