

研究团队
黄朋博,余涛,郑嘉怡,张舜卿,陈小静:上海大学通信与信息工程学院
文章下载
黄朋博,余涛,郑嘉怡,张舜卿,陈小静. 面向无线网-能源互联网双网融合系统的碳效用评估指标. 中国科学: 信息科学, 2024, 10.1360/SSI-2023-0255

研究意义
本文工作
本文创新点如下:
(1) 基于动力层和物理层,构建了能源互联网和无线网的双网融合系统,并采用电 能供需队列对双网之间的电能供给关系进行建模,不仅将可再生能源(包括太阳能和风能)作为双网融合系统的能源供应,而且实现了能源互联网中能源中心的能源供需角色转换。

实验结果
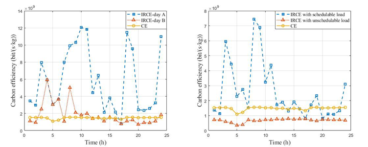
在本文中,我们在虚拟电厂的场景下进行不同天气和不同可变负载的碳效用指标评估, 并将集成相对碳效用IRCE与传统的碳效用指标CE进行了对比。

虚拟电厂评估指标对比图
推荐阅读








