重点推介 | 华中科技大学邱才明教授团队:无线通信中智能超表面设计综述

联盟和本公众号对转载、发布的内容、陈述、观点判断保持中立,不对所包含内容的准确性、可靠性或完善性提供任何明示或暗示的保证,仅供读者参考,联盟和本公众号将不承担任何责任。以上声明内容的最终解释权归联盟和本公众号所有,本声明将适用本公众号所有时间发布与转载文章,谢谢您的合作。

本文转自华中科技大学学报自然科学版公众号文章《重点推介 | 华中科技大学邱才明教授团队:无线通信中智能超表面设计综述》






题目:无线通信中智能超表面设计综述

作者熊儒菁,张佳楠,王福海,王正雨,任 翔,刘峻铄,卢佳龙,万 凯,密铁宾,邱才明

第一作者单位:华中科技大学电子信息与通信学院

摘要:针对智能超表面(RIS)的硬件结构,从单元设计和原型机系统两方面综述了RIS的设计工作.首先从固定单元结构的超表面追溯了RIS的发展起源,并从可调节的角度深入剖析了现有RIS的单元结构种类和设计思路;其次基于物理信息和统计信息对了RIS辅助通信的信道建模研究进行分类和梳理;然后从原型机的设计特点和系统功能两个方面介绍了目前主要的RIS实验系统和相关实验结果;此外,提出了设计的RIS原型机,并进行了多跳RIS的信号增益,图像成像以及实际室内信号覆盖测试实验.实验结果表明:RIS可以有效减小信号覆盖盲区和辅助无线电波成像,经RIS辅助增强,室内平均信号增益达到8 dB以上.

引用格式:

熊儒菁,张佳楠,王福海等.无线通信中智能超表面设计综述[J].华中科技大学学报(自然科学版),2023,51(09):1-32.


识别二维码,阅读全文


随着物联网的系统的发展,第六代移动通信系统(6G)对于无线容量的需求越来越高,根据思科(Cisco)公司的报告显示,到 2030 年,全球移动流量将增长到 5 016 EB/月(1 EB=1024 PB,1 PB=1024 TB),比 2023 年增长 65 倍[1],不可否认,在目前大规模商用的 5G 中,大规模多输入多输出(massive MIMO)和毫米波通信带来了系统容量的提升.massive MIMO 采用非常大的天线阵列,使用简单的信号处理技术可以减少小区内干扰[2],毫米波通信具有更高的频谱利用率.这些技术的改进也可以和新颖的小区架构拓扑相得益彰,进而增强用户体验,但是这些改善是以复杂的硬件条件和超高的能量消耗为代价的[3-4].此外,毫米波通信甚至太赫兹通信有望在更高频谱上利用巨大的带宽来提高数据速率,然而频率的提升会引起电磁波较大的衰落.同时,传输环境中的水汽及其他介质会吸收电磁波,路损严重,影响覆盖范围.可以说能量损耗问题和无线传输环境已经成为了制约新的通信关键技术应用的关键瓶颈.

在 6G 基础性研究工作中,出现了智能无线电环境(SREs)的概念[5],智能无线电环境是指无线环境不被视为随机的不可控实体,而是被视为网络设计参数的一部分,人们可以按照意愿定制无线环境.为了实现 SREs,智能超表面(RIS)作为一种全新的技术引起了无线电研究领域的关注.

RIS是由工程复合材料[6-7]发展而来,主要是指超材料(或超表面)[8].超表面是人工精心设计的可实现自然媒介不能提供的特殊性质,比如调控电磁波的媒介.最初的超表面通常是由不同图案元件组成的单层结构.这种超表面可以使入射波前产生突变相位,通过巧妙设计不连续界面剖面,比如蘑菇云型、环形、回字形等[9-12],可以实现波前的任意操纵.由于这类超表面存在灵活性不高、调节成本高的缺陷,因此人们开始探索可以产生可变相位的超表面,以便通过可调节的元件的等效高度、长度等物理因素来实现相位可变[13-14],可编程的超表面就是在这种情况下诞生的.关于RIS的可编程设计思想最早可以追溯到 Capasso 等[15]利用二维光学谐振器阵列具有的空间相位变化相应和亚波长分离的特性,在光反射和透射时产生不连续相位,进而设计不同的光束,他们据此提出了广义斯涅耳定律,并对微波和毫米波领域进行了展望.此后,梯度相位、几何相位超表面等超表面相继提出[16-18].崔铁军团队第一次利用 PIN 二极管(positive-intrinsicneg‐ative diode)实现了超表面的数字可编程控制[19].该数字编码超表面又称为智能超表面(RIS),可以实现 1-bit或多-bit的实时可编程,较之传统超表面是革命性的技术飞跃.至此,RIS构建起物理空间和信息空间的桥梁,为通信、雷达、成像等信息系统提供了新的维度.

RIS最主要的特点是它能够智能地将冲击信号反射到需要的方向(波束赋形),所以对 RIS 的相位转移进行适当的设计可以充分利用它的潜力.目前关 于 RIS 相 移 设 计 的 典 型 目 标 主 要 有 信 噪 比(SNR)或者速率最大化[20-21],发射功率最小化[22-23],以及能量效率最大化[24-25].通过设置此类优化目标,求解优化问题来获得合适的 RIS 相移值,由于 RIS本身的限制,此类问题通常是非凸的,主要求解方式包括连续凸式近似法[26],交替方向乘子法[27],半定松弛法[22],流形优化等方法[28].

RIS作为一种具有可编程电磁特性的人工电磁表面结构,通常由大量精心设计的电磁单元排列组成.通过对电磁单元上的可控元件施加控制信号可以实现对表面上的每一个单元的状态控制,形成幅度、相位、极化核频率等参数可控制的电磁场,即对空间电磁波进行主动调控.将RIS部署在无线传输环境中各类物体的表面,可以突破传统无线信道的不可控性,构建SREs.RIS主要有以下比较明显的特点:a.它们几乎是无源的,在理想情况下,它们不需要任何专门的能源;b.它们被看作是一个连续的表面,在理想情况下,任何一个阵元都可以通过软编程的方式对入射电磁波的波形进行重塑;c.它们不受接收器噪音的影响,在理想情况下,它们不需要模数/数模转换器(ADC 和 DAC),以及功率放大器,因此在检测信号时不会放大也不会引入噪音,并提供固有的全双工传输;d.它们具有全频带响应,因此在理想情况下它们可以在任何工作频率下工作;e.它们可以很容易地部署,例如在建筑物的外墙、工厂和室内空间的天花板、人的衣服等.值得注意的是,对于相同的物理属性需求,可采用不同的RIS电磁单元结构设计.

目前关于 RIS 的综述主要集中在发展历程[29]、信号处理[30-32]、理论建模[33]等相关领域,尚未有针对RIS单元设计和原型机论文的综述,为了解决此问题,这里梳理了 RIS 的电磁单元设计,RIS 辅助通信原型机系统以及相关的实验测试,以便于读者对于RIS的工作原理和实验性能有更多的了解.同时还设计了一种新的RIS原型机,介绍了其在无线通信系统中辅助的信号覆盖增强和目标成像实验测试.


1

基本模型


1.1 电磁结构模型

本节主要从超表面的单元设计来阐述RIS的发展历程.超表面的电磁单元设计根据其功能特征可以分为固定结构的单元模型和可以调节的单元模型.首先回顾了固定结构超表面的发展,然后针对超表面中的智能超表面(RIS)的发展做进一步的分类和阐述.

1.1.1 固定结构超表面

超表面的雏形可追溯至1999年,Sievenpiper等[9]设计了一种“蘑菇云”型二维电磁带隙表面的金属电磁结构(图1),他们将正六边形单元周期排列在二维平面内,用于调控不同模式表面波的传输,但不管是对表面波还是空间波的操控,由于前期受到超表面固有研究体系的影响,人们依然是从等效媒质参数(如表面极化率、表面阻抗等)视角出发来设计和研究超表面,导致绝大部分超表面是均匀的,超表面中所有电磁单元具有相同的电磁响应.

图1   蘑菇云型金属电磁结构[9]

       Ye等[10]利用在硅片上制作的分裂环谐振器(split-ring resonators,SRR)谐振结构,实现了在1 THz频点处的人工磁谐振响应(如图2所示).Chen等[34]利用砷化镓工艺通过引入直流偏置信号,设计出了在太赫兹频段下的环形电调超表面.Gianvittorio等[13]利用空气作为介质,通过静电力控制贴片距离基板的高度,进而改变反射相位.Tao等[11]采用带有金属背板的LC谐振结构首次在太赫兹波段对吸波性能进行实验验证.其吸收电磁波的物理机理是利用超表面结构中的金属结构强谐振,使入射电磁波中的大部分能量在介质中以热能形式损耗,从而达到吸波的效果.Tao等[12]利用氮化硅和金之间不同的热膨胀系数设计了一款通过温度来调整SRR谐振环角度的可重构超表面,实验表明其透射系数随SRR环朝向(温控)的改变而改变,该超表面可用于温度检测和可重构滤波器等器件的设计.


图2  基于SRR谐振结构的超表面[10]

Capasso等[15]打破超表面的固有设计方法,提出了广义斯涅尔定律,并基于该定律设计了非均匀分布的超表面,展现了对电磁波的非均匀调控,同样的思想在时间反转技术中也有体现[61].在该设计中,研究人员首次引入相位突变这一全新的思想,通过控制设计的V字型单元结构张角和朝向,在超薄分界面上实现了交叉极化电磁波的360°全覆盖相位调谐.在二维平面上灵活排布不同形态的V字结构,可以获得不同的相位分布,从而实现电磁波异常折射、聚焦和涡旋波产生等功能,其单元结构如图3所示.Sun等[16]设计了H型单元结构并实现了一款梯度相位反射式超表面,将超表面的梯度周期控制在一个波长以内,首次利用超表面将空间波高效地转换为表面波.Sun等[17]又利用梯度相位超表面在宽带内实现了对入射波的高效率异常反射.另外,基于几何相位(也称Pancharatnam-Berry (PB) Phase)的超表面也被广泛地应用于调控圆极化波[18],利用结构相同的单元旋转一定的角度来产生相位突变,用于调控电磁波前,可实现涡旋波束,全息成像,平面透镜等应用.

图3  V字结构的超表面[35]

        为了更进一步地研究固定结构超表面,Zhang等[36]提出了一种设计低散射法布里-珀罗(F-P)天线的新方法,在8~12 GHz频率范围内,该天线的峰值测量增益为19.8 dB,散射显著降低.Yuan等[37]提出了一种有效地减小宽带雷达截面的方法,通过螺旋模式编码8种线性相位梯度,使反射波均匀扩散,在超宽带范围内实现了后向散射雷达散射截面(RCS)减小.

        Li和Yao[38]基于相同尺寸、不同取向的元粒子,利用PB相位构造了一个多-bit数字编码超表面.Wang等[39]提出了基于SSR纳米天线的超薄相单元结构,以实现具有多维度和多聚焦的太赫兹光学超构透镜,此外还应用分相模式实现了纵向双聚焦的超构透镜.Shao等[40]提出了一种基于全介电谐振腔的双功能各向异性编码超表面的通用可扩展设计策略.该策略利用电磁波在超表面传播时的两个正交极化,对不同编码序列的超表面进行编码,从而实现偏振相关的光束操作.Al-Nuaim等[41]提出了非均匀、单层、全介电、非吸收的1-bit和2-bit编码扩散反射射线超表面,用于12 GHz左右大入射角范围(60°)下几乎均匀的低水平电磁波扩散,该文提出使用亚波长周期性的全介电单元的电磁结构,在小尺寸介电反射射线内的每个单元上实现所需的反射相位校正(和有效介电常数).Wang等[42]提出了一种结合相位梯度单元和编码序列实现单馈多波束超表面天线的方法,该方法可以通过不同种类的相位编码序列叠加实现不同远场模式的多波束天线.制作的天线可以在11~13 GHz的宽频率范围内产生4个完美的铅笔形波束,在中心频率实现的增益约为19.9 dB.Lin等[43]提出了一种圆偏振(CP)超表面单元结构设计,该超表面可实现超宽带CP维持反射,使其在6.2~26.4 GHz频段CP入射下的共极化反射系数接近1.0.此外,通过旋转其单位细胞结构,在CP入射下,可以在其共极化反射系数中产生PB相.Wan等[44]提出了一种能提供低频散射、宽带透明窗和高频吸收的超表面组合吸收频率选择结构方案.Jing等[45]提出了一种新颖的加编码光栅原理,可以对两个或两个以上的传统编码元光栅序列进行加、减运算,得到一个新的编码元光栅序列.编码后的元光栅可以灵活地调整散射角.提出的编码光栅加法原理为太赫兹波前的灵活调制提供了一个新的自由度.

        Abdullah和Koziel[46]基于监督学习研究了具有宽带RCS降低特性的编码超表面单元设计,采用了一个两阶段的优化过程以最大化RCS约简带宽为目标,设计了4种独特几何形状的晶格,对应00,01,10和11二进制编码,分别代表0,π/2,π,3π/2这4种相位反射状态.Patel[47]研究了基于石墨烯的3种不同的折射率传感器(分裂环谐振器(SRR)、细线分裂环谐振器(SRRTW)和细线折射率传感器),通过改变石墨烯化学势来实现1-bit单元设计.Zhu等[48]设计、制作并测量了全空间单层元全息图,在电磁波发射和反射区域提供了两种不同的信息通道.所提出的超表面单元由一个十字形的贴片结构和一个由两个合并的矩形形成的槽组成.通过调整贴片和槽结构的几何参数,可以在入射波的不同线极化情况下分别实现1-bit相位调制和幅值调制.随后他们又提出了一种灵活的双宽带极化不敏感编码超表面来处理微波频段的电磁散射[49].1-bit编码单元0和1由大小相同、取向不同的元原子组成的PB相构成.超表面在不同曲率半径的金属柱面上是保形的,而在双宽频带上保持了良好的漫射散射性能.在柔性超表面尺寸一定的情况下,随着曲率半径的减小,共形超表面的散射特性逐渐变好.Yuan等[50]通过在编码序列生成中引入功率谱,研究了电磁超表面单元的几何熵与超表面散射熵之间的关系,验证了在散射模式中中心凹陷的二维宽带功率谱的熵值最高.

       Sawant等[51]研究了毫米波频率范围内由透射结构产生的轨道角动量(OAM)束不均匀性的起源,设计了一个穿孔平面介质板,将高斯光束转换为振幅均匀性更好的2阶OAM光束,制作并测试了透射式超材料单元结构的设计,以获得OAM波束生成时的最佳振幅均匀性.Al-Nuaimi等[52]介绍了一种用于在60~120 GHz宽频段上降低雷达截面的1-bit电磁单元的设计.所提出的1-bit的超表面不需要任何复杂的优化算法,也不需要耗时的模拟来实现优化的相位分布图.

      Chen等[53]提出了一种对称的圆形准闵可夫斯基闭环形状的透明宽带散射超表面单元结构,为了提高超表面的光学透射率,单元的顶层采用超薄线宽的金属环,底层采用超薄线宽的金属环,测量结果表明,在10.5~19.5 GHz的宽带范围内,实现0和1两种相位变化,相位差异在180º±30º.

Ghosh等[54]详细研究了一种在太赫兹间隙中(2.25~6.00 THz)作为可调谐宽带线圆偏振变换器的功能的石墨烯基超表面单元结构,该结构由一个简单的三层配置组成,分别为金属层、二氧化硅层与石墨烯层,其中元原子层是在金底二氧化硅基板上的图案化石墨烯层.通过电路模型验证了所提出的反射型线性至圆形偏振转换器在工作光谱的两个半部分显示了反射波的右旋和左旋圆形方向 .

      Guirado等[55]以提高响应时间为目标,提出了一种适用于聚合物网络液晶混合物的有效各向异性单轴模型,该模型工作在100 GHz的超表面单元中,以可调性降低3倍的代价,提高了响应时间50倍.

      本小节介绍了固定结构超表面的发展历史,这个时期的超表面由于固定的电磁结构导致其改变电磁场的能力有限,但是人们也提出了通过修改反射单元的几何参数来改变电磁特性的设计,例如形状、大小、间距等.虽然相比于RIS,这种超表面还不足以达到改良无线传播环境的能力,但是也展现出了超表面的发展前景,促进了RIS的发展.

      1.1.2 可调节超表面

      一般的不可调超材料和超表面都是具有固定的拓扑几何结构,也就是说超材料和超表面的物理结构一旦加工成形就只能实现某种特定的功能,无法按照需求实时改变,而在一些实际应用场景中,通常需要超表面能够实时切换不同的状态和功能.

      RIS就是利用超表面单元的可重构特性,以实时可编程/可控制的方式实现电磁波信号的调控功能的一种超表面.与天线和相控阵天线不同,它们一般是将亚波长的超表面单元按照一定准则排布在二维表面上,每一个RIS单元通过加载一些射频开关来实现其的可调谐特性,常见的可调谐器件有变容二极管、PIN二极管和射频微机电系统(RF MEMS)等.通过采用现场可编程门阵列(FPGA)来控制这些射频开关,从而实现现场可编程.

     目前从设计的结构分类来看,RIS单元结构主要有微带贴片式、缝隙耦合式,此外还有具有透射等功能的其他结构.

      a.微带贴片式

微带贴片天线是将金属辐射片附着在介质基板上,背面有金属薄层作为接地板而形成的天线.它有微带线和同轴线两种主要的馈电方式,微带天线激发金属贴片与金属接地板之间的辐射场,并通过贴片外围与接地板之间的间隙向外辐射.目前绝大多数RIS的单元设计是基于微带贴片的.

      Kamoda等[56]提出使用PIN二极管实现数字相移,所提出的单元的基本模型如图4所示.一个矩形微带贴片连接到一个装有PIN二极管的短路存根上.PIN二极管起到射频开关的作用,使短路存根输入阻抗响应随着PIN二极管的开/关状态而改变.通过改变存根或贴片的尺寸使得当PIN二极管切换时,反射相位改变180º,从而实现了1-bit移相器.单元贴片的中间有通孔连接到控制电路以控制PIN二极管.接地面上的环形缝隙(第2层)和第3层的金属圆盘起到了抑制射频信号的作用.其仿真和测试的反射系数表明,对于60.25 GHz的入射电磁波,经过PIN二极管开关两种状态的单元反射之后,相位差近似为180º,仿真和测试略有差别主要是由于工程制作的误差.该团队最终制作了一个160×160,一共2.56×104个单元的阵列,验证了天线的重构能力,不同波束方向和天线增益下的实测辐射图与计算结果较为相符.

图4  基于PIN二极管的数字相移结构[56]

      崔铁军等[19]首次提出了可编程超材料的硬件结构.如图5所示,两个平面对称的金属环结构印刷在聚四氟乙烯(F4B)介质基板上,并由PIN二极管相连,并且每个金属环通过两个通孔与两片分离的接地板相连,用来施加直流(DC)偏置电压.仿真的反射系数结果表明:在8.2 GHz下,二极管不同状态带来的相位差为180°,进一步利用FPGA输出控制信号,实现了对数字超材料的数字控制,设计了智能超表面(RIS),从而实现了对电磁波的操纵,奠定了RIS实际系统的研究基础.

图5  可编程超材料单元结构设计[19]

      Yang等[57]所提出的超表面结构由一个矩形贴片和金属接地板组成,PIN将矩形贴片的一边通过金属通孔和接地板相连,直流偏置线选在近似零电场的位置附近,并且引入1/4波长微带线和扇形线隔离直流和射频信号,通过电磁仿真软件Ansys HFSS得到其反射特性,结果表明在两种极化下,大多数能量被反射,当X极化电磁波入射时,二极管分别为ON和OFF状态在 11.1 GHz处可获得180º相位差.

      为了进一步增加RIS的相位离散程度,实现更加精细的相位调控,Huang等[58]提出一个2-bit的RIS阵元设计.该RIS单元由梯形贴片和两个矩形贴片组成,两个PIN二极管放置于它们的缝隙之间,中间的金属通孔连接到金属接地板,两边的金属通孔与偏置线相连,位于介质板的最底层的控制电路为整个元件提供一个直流控制信号.通过电磁软件CST仿真得到其反射系数幅值和相位,结果表明其反射系数幅值在0.85以上,并且在7.25 GHz附近,当二极管处于00(状态1)、01(状态2)、10(状态3)、11(状态4)4种不同的状态时,相邻两个状态的相位差近似为90º,满足了2-bit单元的要求.

      Zhang等[59]设计的超表面结构由多个单元组成,每个单元由印刷在F4B介质基板上的矩形金属贴片和金属短截线组成.采用PIN二极管将金属贴片通过金属短截线和接地板相连,并且每一列(由8个单元组成)由宽度为0.2 mm的偏置线连接,共用一个控制电压.使用CST对超表面单元建立全波仿真.PIN二极管ON和OFF状态下反射系数的相位和振幅结果表明在10 GHz附近两种状态的相位差为180°.

      Zhang等[60]又提出一种新的超表面结构,超表面的每一列由8个单元组成,共享同一个控制电压.每个单元由1个六边形金属贴片和2条偏置线组成,印刷在有接地板的F4B上.2个PIN二极管将2个偏置线和六边形贴片连接起来,使2个PIN二极管在OFF-OFF,ON-OFF,OFF-ON和ON-ON状态下,分别对应4种编码状态.利用CST进行全波仿真计算其反射系数,结果表明相邻的2-bit编码态在9.5 GHz频率下相位差约为90°,对应的幅值超过0.79.

      Li等[61]提出了2-bit智能超表面单元结构,每个单元都可以独立调节,该单元由三个亚波长尺度的方形金属贴片组成,印刷在介质基板(Roger 3010)上,任何两个相邻的贴片通过PIN二极管相连,每个PIN二极管有两个工作状态,由施加的偏置电压控制.在x偏振平面波照射下,该单元支持4种不同的相位响应,分别表示为00(状态1)、01(状态2)、10(状态3)及11(状态4),通过控制三者的ON/OFF状态来确定PIN二极管在合适的组合下,对应4个数字化相位差为0,π/2,π和3π/2.3个30 nH的电感被用于将直流馈电端口和微波信号隔离开.该单元设计中,当工作频率为3.2 GHz时,在相邻两个态之间的相位差在频率为(90°-15°,90°+15°),并且反射率可以达到85%以上.

      Li等[62]在2019年设计的RIS单元由两层介质基板组成,顶部的方形贴片负责反射电磁波,贴片上集成了一个PIN二极管,通过一个金属通孔连接到接地平面.采用电感L=33 nH的芯片电感来抑制交流对地的耦合.仿真结果与实验结果在图14(d)中进行对比.可以观察到当PIN二极管从ON(OFF)切换到OFF(ON)时,在2.41~2.48 GHz的频率范围内,单元的反射相位发生180º相位差.相位变化可以通过将施加到PIN二极管的外部直流电压从3.3 V切换到0 V来完成.

      Dai等[63]设计了一种基于变容二极管的RIS单元结构,如图6(a)所示,由两对矩形贴片组成,介质板背面有一个开槽的铜接地板.每对金属贴片由变容二极管连接,二极管两端通过金属通孔与接地板连接,为其两端施加偏置电压.由图6(b)可见:当偏置电压从0到19 V不等时,相位差表现出较大的相位范围(≈300°).

图6  基于可变二极管的单元结构设计[63]


      Lin等[64]提出了一种由三层金属层和两层电介质层组成的单元结构.顶部金属层的单元结构中集成了PIN二极管,中间金属层作为反射面,同时也作为整个电路的接地平面.在底部金属层中设计有扇形结构以阻隔来自直流信号的高频信号.在该单元设计中采用PIN二极管连接两个金属圆柱体,一个金属圆柱体连接到中间金属层,另一个穿透中间金属层加载直流电压,通过施加不同的电压,PIN二极管处于导通和截止,影响单元的谐振频率,从而导致相位差.单元可以实现180º的相位差和近似相等的反射振幅.

      Pei等[65]提出的RIS单元与文献[56]类似,通过改变单元尺寸将RIS单元的工作频率移到了5.8 GHz.

      Gros等[66]提出一个双极化的超表面单元,为了提供180º相移,单元的设计增加了一个寄生谐振器(图7中的PH和PV分别对应入射波电场矢量的水平和垂直偏振).寄生谐振器的谐振频率与贴片的谐振频率相近.当耦合共振发生排斥和共振互移时,2个谐振腔之间出现强耦合和相应的抗交叉行为.通过改变寄生谐振器的电长度,可以改变寄生谐振器的谐振频率,进而造成相位差.该单元结构通过集总电感元件与单元的射频部分隔离.图7(b)显示了单元的仿真反射系数,其中S11为输入反射系数,也即输入回波损耗,S11在频率范围在频率范围27.5~29.5 GHz之间相位差近似为180º.

图7  双极化的单元结构及反射系数仿真[66]


      Trichopoulos等[67]提出一种新的RIS单元设计.该单元的目标是设计一个单层拓扑(除地平面外),即不须要使用垂直组件(如通孔).超表面单元由接地板、介质基板和顶部金属层组成.顶部金属层由一个矩形贴片和一个寄生贴片组成,并通过PIN二极管相连.为了将射频信号与偏置线隔离,在每条偏置线中使用一个径向短根.偏置线以5个单元为一组布线,以保证布线复杂度最小,如图8所示的全阵列拓扑.

图8  单层拓扑的超表面结构[67]


      Rains等[68]使用的RIS单元是多个bit列驱动的平面设计,如图9所示,每个单元由5个贴片组成,由3个PIN二极管和一个电容连接,施加直流电压到其中3个贴片,其余2个贴片与地面连接.3个二极管在处于不同的状态时可以实现多-bit.

图9  多-bit单元结构设计[68]


      Sayanskiy等[69]设计的超表面单元如图10(a)所示,该单元由一个矩形贴片组成,矩形贴片上集成了2个变容二极管,贴片的中心由通孔与直流电路连接.贴片的谐振频率由其长度L和贴片与距离贴片中心s/2处接地平面连接的二极管的电容值决定.为了在贴片与地平面之间连接2个二极管,该单元在贴片上做了两个尺寸为a×b的矩形窗口,并增加了两个小接触板,通过两个额外的通孔与地连接.每个二极管都焊接在其窗口边缘和相应的接触板之间.在该单元设计中,接地平面和接触片保持在零直流电位,贴片处于由直流电路形成的偏置电压下.通过图10(b)和(c)中反射系数的幅值和相位可以看到,所选择的参数确实提供了0和1状态,与U=0 V和U=3.2 V(电压)相应,反射相位的差异约180°.

图10  基于变容二极管的单元结构[69]


      Chen等[70]所提出的是一个毫米波频段的超表面单元,每个单元由两个矩形贴片组成.一个PIN二极管集成于两个贴片之间,该单元工作在27 GHz处,两种开关状态对入射电磁波产生的相位差为180º.

      Fara等[71]提出的单元结构是一个金属贴片刻蚀在介质基板上,该贴片被环形槽分隔成两个导电区域,内部和外部区域通过四个变容二极管相互连接.通过调整变容二极管的电容,提供了所需的反射系数可调性.

      总而言之,贴片式的RIS单元结构是通过在多层结构的第一层加一些枝节及对应的电磁开关,通过电磁开关的状态变化从而改变贴片电流分布实现可重构.

b.缝隙耦合式

      缝隙耦合形式的RIS反射单元不仅可以获得良好的反射相位曲线,而且可以扩宽反射阵的带宽.最重要的是,缝隙耦合单元的相位延迟线位于地板下方,对于可重构反射阵加载有源器件十分便捷,使得偏置电路的设计大大简化.缝隙耦合单元主要由矩形微带贴片,开缝隙的地板、相位延迟线和两层相对介电常数不同的介质板组成.目前缝隙耦合式的设计并不多.

薛炜民[72]提出的单元结构如图11所示.矩形微带贴片位于上层介质基板上,带有缝隙的接地板在上下两层介质板之间,而相位延迟线则是印刷在下层介质板下层,两层基板压合在一起.当在相位延迟线上加载PIN二极管后,PIN二极管可通过外部偏置电压控制其通与断,从而可以改变电磁波传播的路径,实现RIS可重构的特性.

图11  缝隙耦合式单元结构[72]


Dai等[73]在2020年提出一种具有对称性的RIS单元结构,如图12所示,每个单元由一个上层的方形贴片,一个开槽的平面组成,还有一个接地板.上面的贴片负责接收和辐射能量,而接地板的主要功能则是提供接地和抑制背向辐射.该单元结构中,开槽平面是控制RIS相位的关键部件.其详细结构如图12所示,其中:PIN1/PIN2的1,2,3和4配置分别为ON/OFF,OFF/ON,ON/OFF和OFF/ON;PIN3,PIN4和PIN4的1和2配置均为ON,3和4配置均为OFF.在单元中对称地刻蚀四组插槽,其中集成了5个PIN二极管.理想情况下,2-bit RIS单元提供相位差为90º的四个量化相位状态.4种单元配置的PIN二极管状态和对应的射频电流路径如图12所示,从所提出的2-bit RIS单元在4种单元配置下的模拟相位和幅值性能可以观察到,4种状态相位差大约为90º,这些状态在2.0~2.6 GHz的频率范围内保持非常稳定,插入幅值损失小于1.2 dB.

图12  对称结构的2-bit单元结构[73]


      因为等效电路刻画和结构设计难度的影响,缝隙耦合式的RIS单元结构目前并不常见,其主要是通过在多层金属结构中的地刻蚀缝隙来实现可重构.

c.透射式
一种透射式RIS单元如图13所示,上层介质基板的上表面和下层介质基板的下表面都印刷有矩形贴片天线,在矩形贴片天线上开有两个半圆形缝隙,其中一侧的缝隙中间相连通.两个贴片天线通过中间的金属通孔相连接.中间有一层共用接地板,上层矩形贴片天线通过两个金属通孔和地板相连.设计两个金属通孔是为了保持天线的对称性.两个PIN二极管集成在下层矩形贴片天线上,通过控制PIN二极管两端的偏置电压可以改变下层矩形贴片天线的开口方向,从而控制单元的相位状态[74].

图13  透射式超表面的单元结构[74]


Zhang等[75]提出一种既具有透射又具有反射功能的单元设计,称为智能全能面(IOS).如图14所示,一个矩形贴片通过PIN二极管和一个矩形金属框连接,矩形贴片中间有通孔连接偏置线.和普通RIS单元不一样的是,这个单元没有金属接地板,取而代之的是一个跟顶层设计一样的底层对称面.该单元能同时工作在反射模式和透射模式,两个二极管同时开和同时关作为0和1两种状态,相位差都约为180°,不足的是,反射或透射约有一半的能量损失.

图14  能同时反射和透射电磁波的单元结构设计示意图[75]


类似的IOS对称结构设计在文献[76-77]中也有被研究,此外,还有文献[78-80]通过多层单元结构设计,使得超表面时可以在透射、反射和收电磁波3种状态之间切换,这一类单元的结构如图15所示.


图15  具有透射、反射、吸收电磁波三种功能的超表面结构示意图[76-77]

透射式超表面跟其他超表面不同之处在于,它在具有反射电磁波功能的同时还可以透射或者吸收电磁波,这使得它可以应用到更多的场景.

      总之,可以人为调节状态的智能超表面(RIS)基本都是通过控制二极管等可控电磁元件的状态,来控制超表面对入射电磁波的相移等参数的改变.通过不同的设计来集成多个二极管可以实现1-bit,2-bit及bit数更高的超表面.目前主要的类型有微带贴片式、缝隙耦合式和透射式,其中微带贴片式是人们研究最多的.

1.2 信道模型
除了RIS单元的电磁模型之外,实际测试系统中信道模型准确性对RIS辅助通信的相关性能也具有决定性影响.目前关于RIS系统信道建模根据数据类型可以分为两类:一类是以统计信息为基础的统计建模;另一类是以物理信息为基础的物理建模.
1.2.1 统计模型

      a.级联信道模型

在RIS辅助的通信系统中,最开始广泛使用的是基带等效信道模型[29,22,81-83].考虑基站到单天线用户的上行信道,假设基站(BS)天线数为N,RIS单元个数为M,用户(UE)数为K.考虑平坦衰落信道,在时刻t,发送端信号经多条路径到达RIS后,经过RIS的相位调控、组合后到达接收端,整体信道可以写为级联模式,具体为:

式中:hd∈CM×K为用户到基站之间直射路径(LOS, line-of-sight);hr∈CM×K为用户到RIS之间的信道;H∈CM×N为基站到RIS之间的信道;s∈CN×1为基站的发送信号;nt为加性高斯白噪声;Θ=diag([Φ1,,Φ2,⋯,ΦM]T)表示RIS的反射系数矩阵,其中,diag(⋅)返回一个对角矩阵,Θ对角线上元素表示每个单元的反射系数第m个对角元素,记为Φmmejφm,其中:φm为相移响应;βm为幅值响应,不失一般性,假定βm=1.      

在该建模下,信道矩阵的第(m,n)元素表示了第n根发送天线与第m根接收天线间的信道系数,即Hm,nHm,nexp(jωHm,n),包含信道幅值αHm,n和相位变化ωHm,n两部分.
然而,由于RIS是无源的,并不具备基带信号处理能力,因此无法获取BS-RIS和UE-RIS之间分别的信道状态信息(CSI).为了解决这一问题,Zhang等[84]指出可以在RIS上部署RF链路来实现CSI的获取.此外,Mishra等[85]提出了逐单元的ON-OFF策略,即将信道时间分为多个时隙,通过控制某个反射单元ON状态,同时使其他单元处于OFF状态,获取该时隙的接收信号信息.
文献[86]中提出了改进的级联信道模型,在时刻t,用户k的接收信号为
式中:uH=[Φ12,⋯,ΦM];hk表示信道矩阵hd的第k行;nt为t时刻噪声.基于该建模方法,级联信道diag(hr)H的CSI可以由BS获取,避免了分段估计两段信道的CSI.

      b.几何建模

在RIS辅助的毫米波、太赫兹系统的场景下,常采用的信道模型为几何建模,也称Saleh-Valenzuela(SV)模型[87-88].由于毫米波穿透力差,信道的散射路径较少,往往远少于发射和接收天线的数量,因此其信道模型具有丰富的几何特征.
假设发送端、接收端和RIS的天线数分别为Nt,Nr和NI,UE-RIS之间的路径簇数为P,BS-RIS之间的路径簇数为Q,则从用户到基站的整体信道可以表示为[89-90]

式中基于几何建模的信道可表示为

其中,αp,θprpr)和θptpt)分别为RIS-UE之间第p条路径的信号增益、到达角(AoA)的方位角(俯仰角)、出发角(AoD)的方位角(俯仰角),βq,ψqrqr)和ψqtqt)分别为BS-RIS之间第q条路径的信号增益、AoA的方位角(俯仰角)、到达角(AoD)的方位角(俯仰角),ar和at分别为接收端和发送端阵列响应矢量.
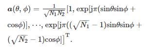
例如对于包含N1×N2且阵元间距为半波长的均匀平面阵列(UPA)而言,导向矢量具有如下形式
基于几何的信道建模和基于数字地图的混合信道模型是当前3GPP(3rd Generation Partnership Project)及国际电信联盟(ITU)标准研究中主要采纳的模型[91-92].基于几何建模的信道建模方法为毫米波信道估计提供了新的手段.对于毫米波、太赫兹无线通信系统,信道主要以直射路径为主,信道具有明显的稀疏性,而且在所研究的系统带宽内信道的稀疏性几乎没有变化[93].因此可以利用毫米波信道在角度域稀疏这一特性,将信道估计问题转换为稀疏恢复问题[94-95].与传统的信道估计方法相比,基于稀疏性的信道估计方法可以有效降低训练复杂度.
c.Rician衰落模型
由于RIS是无源、被动的,其反射能量与接收能量大小相关,因此在RIS辅助的通信系统中,一般假设RIS与基站(BS)、用户(UE)之间存在直射链路(LOS).在如城市街道等散射丰富的场景下,还须考虑环境带来的多径分量,此时对信道的建模为莱斯衰落模型.针对RIS的第m个阵元,RIS-UE和BS_RIS之间的两段信道分别表示为[96]

式中:K1和K2分别为两段信道的Rician因子;hr,m,H¯m表示LOS部分的信道矩阵;h˜r,m,H˜m表示非直射链路部分的信道矩阵.多径分量部分一般假设为窄带高斯过程,服从复高斯分布CN(μ,σ2).

基于上述Rician衰落模型,Singh等[97]推导出了RIS辅助的单输入单输出(SISO)毫米波系统的信道容量表达式,以及平均符号错误概率的近似表达式.Msleh[98]通过分析两段级联信道的概率密度函数得到了RIS辅助的多输入多输出(MIMO)通信场景下的遍历容量.

       d.空域相关性建模

      在RIS辅助的MIMO、massive MIMO场景下,RIS、用户(UE)的天线数较大,但随着通信设备小型化的发展趋势,须设计结构紧凑的阵列天线解决多天线技术带来的问题[99].在阵元间距较小的情况下,阵元与阵元间存在空域相关性[100],即互耦效应.以BS-RIS之间的信道矩阵H为例,同时考虑直射路径与多径分量,多径分量部分用空域相关性建模.基于空域相关性的Rician衰落模型为[101]

式中:R和T分别为接收端(上行链路时接收端为RIS)、发送端的空域相关矩阵;G为高斯随机矩阵,其元素服从独立同分布(i.i.d)的复高斯分布[102].
目前基站到RIS、RIS到用户的信道经常采用的是瑞利衰落或莱斯衰落信道,然而在实际场景中,由于RIS天线排布密集,信道在空域往往是相关的,因此在MIMO系统下通常考虑空域相关性建模.但RIS与传统的离散天线阵列模型不同,上述的信道建模无法体现RIS的内在电磁特性与结构,因此还须从微观角度对信道响应进行分析.
1.2.2 物理模型
a.基于自由空间衰落

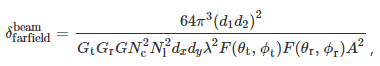
      在上述的建模中,大多基于信道的统计特性,将RIS端对信号的响应建模为了指数形式的对角矩阵.然而该建模思路忽视了RIS的物理、电磁特性,忽视了RIS的阵元孔径、近场场效应等影响.因此Tang等[103]中从RIS对入射电磁波的电磁响应入手,首次提出了RIS辅助通信系统下自由空间传播模型.例如,在远场波束赋形模式下,电磁波经RIS反射后到达接收天线的路损可表示为

式中:d1和d2分别为发送端-RIS与RIS-接收端之间的距离;Nl和Nc分别为均匀平面阵RIS的行、列数;Gt,Gr和G分别为发送端、接收端、RIS阵元的天线增益;dx和dy分别为RIS每个阵元沿x和y轴的长度;F(θtt)和F(θrr)分别为发送信号、接收信号的归一化功率辐射函数;A为RIS阵元的幅值响应;λ为波长.文中还给出了远场广播模式及相应的近场下的自由空间路损结论.

可以看出:基于物理、电磁响应的建模充分考虑了RIS与收发端的距离、RIS的大小、远近场效应及天线辐射场等因素,为RIS辅助的通信系统建模提供了进一步的理论支撑.此外,Tang等[104]在考虑RIS的电磁特性与物理特性的基础上,建立了其他情况下的RIS辅助的通信系统的自由空间路损模型,并实际测试验证了所提出模型的准确性.
b.基于电磁单元响应
文献[105]提出从RIS的物理、电磁响应入手刻画RIS的反射、散射效应,并将模型推广至MIMO场景.考虑长宽为(a,b)的矩阵阵元,入射为均匀平面波Eiii),设阵元对电磁波的反射系数为Γ,在远场假设下,位于距离βm=1、方位角θs、俯仰角ϕs处的散射电场[105]为

式中:C=−j(1−Γ)/2;

基于阵元电磁响应的建模方法从微观上充分考虑了RIS阵元大小、间距、波长、阵元数等各变量对RIS相应的影响.该文首次研究了RIS辅助的MIMO系统,模型表明:一个简单的线性方程组可以在合理的假设下描述RIS辅助的MIMO系统行为,它可以作为分析和优化远场下RIS辅助的系统性能的基本模型.采用连续和离散策略来模拟单个贴片和贴片阵列以及它们与多个入射电磁波的相互作用.同时引入了一个物理上精确的公式来计算矩形金属贴片散射的电场,并描述了阵列的输入/输出行为.此外,Di Renzo等[106]基于一般标量衍射理论和惠更斯-菲涅耳原理,提出了一种计算RIS接收功率的封闭表达式的方法.Gradoni等[107]考虑单元之间的互耦,提出了一种端到端的、符合电磁标准的电磁兼容模型.
近年来,基于信道建模的通信理论分析获得了学术界的广泛关注.基于Wu等[22]提出的RIS辅助SISO无线通信系统模型,文献[108]、文献[109]、文献[110]和文献[111]分别考虑了非相关瑞利信道、相关瑞利信道和Nakagami-m分布的信道建模,针对通信系统的覆盖、中断概率、(等价)信噪比和遍历容量等进行了渐进或非渐进的理论刻画,讨论了一些特殊情况下相移矩阵的设计对通信系统理论容量等性质的影响.Papazafeiropoulos等[112]在上述文献基础上,进一步考虑多个RIS协同场景下相关瑞利信道假设的场景,并针对少数大规模RIS和大量小规模RIS两个设计思路进行了理论对比,结果说明更多的RIS相比于更多的RIS单元能带来更好的通信性能增益.文献[113-115]在同样的系统建模下,将文献[110]中的理论分析推广到了多种不同的信道假设下.另外,值得一提的是Li等[116]通过假设信道为克罗内克积的特殊结构,考虑了RIS阵元位置较接近、有耦合情形下的无线通信系统,以研究实际场景下RIS阵列元器件很近时的分组联合控制策略.文献[117-119]借助概率和随机矩阵的理论工具,分别在下行多用户和多RIS、双跳(dual-hop)的场景下对系统的信(干)噪比和互信息等统计量进行了研究,讨论了理论上最优的线性编码方案,可用于指导RIS相移矩阵的控制.Héliot等[120]考虑了多天线、多跳场景下RIS辅助的无线通信场景,通过信道的连乘建模,探讨了能量效率和频谱效率的折中关系,发现相比于增加天线数例,增加多跳数可有效提升系统的能量效率.RIS辅助的MIMO通信在D2D(Device-to-device)场景下无法保证优于传统多天线方案的对应能量效率.
本小节介绍了RIS的两种不同的物理模型,基于自由空间衰落的信道模型建立了RIS辅助的无线信道的路径衰落与RIS物理参数的关系,除了衰落系数的建模外,提出的基于电磁响应的单元建模,可以得到RIS出射电场在空间任意一点的矢量表示,为微观上的信道模型提供了精确的电磁模型.RIS基本模型的主要内容如表1和2所示.

表1  RIS电磁结构模型的发展和特点

表2  RIS信道模型的基本特点

2

 原型机及测试系统


常见的RIS板一般由三层板和一个控制器模块构成.在首层,依据电磁学设计,拓展出不同bit的单元;在第2层,使用了铜板以避免信号能量泄漏;第3层是控制电路板,其作用是通过调节电压,调控每个反射单元的反射系数(幅度、相移等).FPGA模块作为控制器,分别与上位机和控制电路板相连接,上位机将控制码本输入给FPGA模块,控制器将控制码本转化为对应的反射系数并将其传递给控制电路板,控制电路板接收到命令后,对每个反射单元状态做出改变.

      RIS每个单元中都有一个或者多个二极管,图16画出了PIN二极管控制的RIS反射单元的两种状态对应的等效电路图.通过直流馈电线路控制PIN管的偏置电压,使PIN管产生0或1状态,从而产生相位差.

图16  RIS面板结构图

对于RIS的单元设计,适用频率和离散bit数是设计的主要方向.从RIS原型机设计的角度而言,设计目的主要分为低功耗和高精度两类.对于以通信为目的的RIS原型机系统,目前可实现的基本功能主要包括信号覆盖和时空调制等.

2.1 原型机——低功耗

      RIS单元元件是一种基于变容二极管或PIN二极管连接的具有可修改形状的印刷贴片,它能够通过偏置电路控制实现对电磁波传播方向的自由调控.作为一种近乎无源的人工设备,RIS板须要在空间内自由部署,自由部署则意味着供电多须要采用无线的方式.当使用电池等进行无线供电时,低功耗问题成为人们关注的重点.

Dai等[73]使用PIN二极管实现了具有256个2-bit单元的工作频率为2.3 GHz的RIS板.在2.3 GHz频段,RIS板可实现21.7 dBi的增益,此时,RIS的功耗约为153 W.为了达到相同的增益,传统的相控阵天线至少需要64个天线单元,其功耗约为370 W.该工作设计的RIS原型机在性能相近的前提下,可以减少58.6%的功耗.Gros等[51]设计了一款10 cm×10 cm大小的包含400个1-bit单元的智能超表面,该表面包含800个PIN二极管,其工作在毫米波频段,频段范围为27.5~29.5 GHz.毫米波实验表明,该RIS系统仅凭借PIN二极管的消耗功率为代价,即可获得25 dBi的增益,其功率消耗约为8 W.当所有PIN二极管均为ON状态时,其峰值功率为16 W,此后在Popov等[93]基于该单元设计,用20 cm×20 cm,总共包含1 600个独立控制单元的可重构智能超表面和软件定义的无线电在非视线配置下演示了发射机和10 m外接收机之间的无线链路,在开启RIS之后的信号强度增加了30 dB.

      除了PIN二极管为基础的智能超表面设计,电容二极管在低功耗的设计中也常出现.Pei等[50]使用变容二极管设计了一块包含1 100个1-bit单元的工作频率为5.8 GHz的RIS板.在5.8 GHz频段上,RIS板可以带来17.1 dBi的天线功率增益,其功率消耗主要由RIS板上各电子元件带来的.其中,双向电压转换器的功率为0.013 8 W,电平调节器的功率为0.918 W,变容二极管的功率为0.076 W,总计为0.934 W.除了RIS板的功耗,在该设计中,FPGA控制器的功耗为1.5 W.类似地,Tang等[94]第一次实现了RIS辅助MIMO-QAM(quadrature amplitude modulation,正交振幅调制)无线通信系统的原型机,其中RIS板由256个单元组成,是使用变容二极管设计的,其工作频率为4.25 GHz.实验结果表明,该原型机实现了基于RIS的2×2 MIMO传输和16-QAM调制,系统的数据传输速率可达20 Mbit/s,同时RIS板和控制电路板的功率消耗仅为0.7 W.

实际上,对于30 GHz以上的频段,变容二极管的品质因数较差[123],不能用作空间高频波的调制器,因此如何降低基于PIN二极管设计的RIS的功耗至关重要.为此,基于PIN二极管的设计基础,通过串联电阻限流的操作,在保证增益几乎不变的同时,降低了RIS板的功耗.
图17给出了设计的RIS原型机,其工作频率为5.8 GHz,包含10×16个1-bit单元的RIS板,整个RIS板及其控制系统的满负荷工作功率仅为0.2 W[131].图18给出了设计的RIS原型机的幅度响应与相位响应,可以看到当RIS工作在工作频率时,RIS两种状态下的幅度响应均维持在0.95以上,两种状态下的相位响应差值接近180º.除此之外,得益于较低的功耗,首次实现了RIS板的锂电池供电,如图19所示.

图17  10×16 1-bit RIS原型机


图18  幅度响应与相位响应

图19  锂电池供电RIS

       可以通过使用PIN二极管作为可调电阻来降低功耗,也可使用变容二极管实现低功耗RIS的设计.但在考虑到变容二极管无法对高频空间波调制的缺陷,PIN二极管或许是高频电磁开关更好的选择.

2.2 原型机——高精度
Tan等[124]提出使用变容二极管设计RIS单元,以满足相位连续的要求.然而,变容二极管的响应时间通常较长,且其相位连续变化的精度很低.因此,一些学者将研究重心转向了基于PIN二极管的RIS单元设计[125-127].1-bit的RIS只能提供两种相位状态,即0和π,这种粗略的相位分辨率,会降低天线孔径效率,进而使得旁瓣较高,导致天线增益降低3 dB以上[23].为了减小由1-bit相位量化带来的性能下降,一些学者设计了多-bit的RIS板,但多-bit意味着高系统复杂性和硬件成本.2-bit相位量化被认为是系统设计复杂性和单元性能之间的折中[23,128],此时,天线增益损耗可以降低至1 dB以下[129],并且旁瓣包络也有着很大的改善[130-131].Rains等[68]设计了一种3-bit的RIS板,在3.75 GHz频段下,该设计相比铝板可以带来21.13 dB的增益.但其实相较于2-bit的设计仅提升0.68 dB,系统设计复杂度却有着大幅提升,因此在设计RIS板时,须权衡多-bit带来的高精度增益和系统设计复杂度.

      部分文献中的原型机bit数和RIS阵元数目及对应增益如表3所示.实验结果证明:RIS单元数由160增加到320,接收端的信号强度由-40 dBm增加到-27 dBm[28].

表3  系统参数

根据所使用的电磁开关不同,RIS单元设计主要分为基于变容二极管和基于PIN二极管两种类型.变容二极管可以设计出满足相位连续的RIS单元,但该方案有响应时间过长且相应连续变化的精度过低的缺陷.使用PIN二极管可以部分弥补该缺陷,实现离散相位RIS单元设计.相位离散型RIS中,2-bit的RIS单元设计被看作一个兼顾系统复杂度和相位分辨率的折中方案.此外,RIS板的单元数对系统性能有影响,较大规模的单元数也可以提升RIS调控精度.

2.3 系统测试——信号覆盖

为了验证RIS原型机在无线通信系统中的有效性,研究者们往往会设计无线电覆盖增强实验,希望RIS板可以辅助无线电将覆盖范围扩展到更大的区域.另外,一些学者也进行空中下载技术(OTA,over-the-air)测试,以评估RIS板的空口性能.上述实验的评价指标通常是接收信号强度和数据传输速率.

      Kamoda等[56]对智能超表面的近场和远场的波束赋形进行了测试,通过方向图的测量,验证了反射阵列的可重构性,同时他们使用标准增益喇叭天线的替代方法在60.25 GHz测量天线增益,得到反射阵列的增益为41 dBi,与估计结果基本一致.实验验证了超表面在无线通信中对信号增益的显著作用.

      崔铁军等[19]在2014年造出来RIS的原型机,并首次通过实时控制PIN二极管的开关来调控散射电磁波信号的相位,以达到传输数字信号的效果.唐万恺等[63,122,132]于2019年实现了基于RIS的SISO,MIMO系统数据实时传输,并完成RIS自由空间路径损耗测量建模和信道互易特性验证[103-104,133].2020年Arun等[134]制造了一个3 200个阵元的RIS原型机进行单用户信号功率增益,信号强度提高了9倍,中位信道容量提高了2.5倍.同年Dunna等[135]利用RIS增强了环境中的散射效应,提高了MIMO空间复用增益.通过实验证明相比没有RIS,Scatter MIMO将吞吐量提升了两倍,信噪比提升了2 dB,覆盖范围从30 m提升到了45 m,波束转向精度与理想的连续可调相控阵只相差0.5 dB.

Dai等[73]设计一个基于2.3 GHz的RIS原型机收发系统,进行室内OTA(Over the Air)测试,该系统中发射机和接收机的距离为20 m.实验结果证明:设计的RIS原型机在2.3 GHz频段实现21.7 dBi的天线增益,且接收机处可以实时播放高清虚拟现实(VR,virtual reality)视频.类似地,Pei等[65]也在室内和室外进行了相应的OTA实验.在室内场景中,该实验考虑了一个非视距(NLOS,Non-Line-of-Sight)场景,发射机和接收机被一堵30 cm厚的混凝土墙隔开.当发射功率设置为-16 dBm时,在引入RIS后,接收功率提升约26 dB.该实验证实了RIS在NLOS场景中的有效性.在室外场景中,作者选取了两类传输实验场景,即50和500 m.在室外50 m场景实验中,相较于铜板,RIS为接收机提供了27 dB的功率增益.同样,在户外500 m场景实验中,尽管受限于长距离和低功率,RIS板可以带来14 dB的增益,并且使用RIS辅助通信期间,可以实时且流畅地播放分辨率为 1 920×1 080的视频.
Araghi等[136]设计了一种实验,他们将接收机置于发射机信号的盲点处,利用RIS来提供连接,验证了RIS在覆盖盲点处提供了连接作用.实验设置如图20所示.

图20  利用RIS进行盲点覆盖[136]

GROS等[66]报告了2个重要实验.第一个实验使用设计的RIS,在近场配置中,与典型的反射天线进行比较.这种情况下RIS可以非常有效地用于毫米波波束形成,实现接近30 dBi的方向性,有效角度达到了60°.另一个实验利用RIS在远场配置中提供了毫米波无线传输,其中两个喇叭天线连接到VNA没有直射链路,该实验演示了如何使用RIS来创建直射链路,从而在接收到的能量上提供25 dB增益.
此外,Rains等[68]为了验证RIS可以有效解决室内信号堵塞问题,基于所设计的RIS原型机,设计了3种室内覆盖增强实验方案.在实验一门厅场景中,RIS板位于房间内的转角处,与USRP相连接的发射喇叭天线和RIS之间存在着LOS链路,而发射和接收喇叭之间不存在LOS链路.因此,RIS为发射和接收喇叭之间提供了一条额外的链路以保证无线通信的质量.实验结果表明:当接收喇叭天线距离RIS板约12 m时,接收信号强度提高了约17 dB.实验二走廊交汇处场景与实验一相似,RIS在其中都起到了类似(无源的)中继的作用,在距离RIS板约18 m处接收到的无线信号有30.6 dB的增益.在实验三中,RIS被用于跨楼层的信号中继,其中,接收喇叭天线和RIS被同时放置于一层的公共休息室内,两者间存在LOS链路.而发射喇叭天线位于2层楼之上的夹层中,通过两扇窗户正对着RIS板.在该场景下,RIS为接收喇叭天线提供了21.13 dB的信号增益.
Keykhosravi等[137]为了验证SISO系统中的RIS定位问题,采用2个工作在60 GHz的收发模块BFM6010来模拟两个RIS,该两个模拟RIS配备了8✕3的阵列天线,用两个阵列天线的交叉点定位出用户的位置.
崔铁军等[138]报告了在L型走廊建立一个NLoS场景,通过实验证明RIS最大可以提供30 dB的信号增益,验证了RIS的覆盖增强能力.场景图如图21所示.

图21  “L”型走廊的信号覆盖


Ouyang等[139]创造性的将计算机视觉引入了RIS系统中,通过在RIS上安装摄像头,获取周围环境的视觉信息,RIS利用这些信息识别所需的反射光束方向,然后根据预先设计的码本调整反射系数.与传统的利用信道估计或波束扫描获取反射系数的方法相比,该方法不仅节省了波束训练开销,而且无须额外的反馈链路.通过原型机的实验证明该系统能够利用视觉信息快速调整反射系数,实现动态波束跟踪.
Georgios等[67]将一个工作在5.8 GHz频段的160单元RIS集成到无线通信系统中,并在现实的室外通信场景中评估波束形成增益、路径损失和覆盖改进.当发射机和接收机均采用定向天线时,RIS在±60°的角度范围内的信噪比(SNR)可获得15~20 dB增益.在覆盖范围方面,考虑到远场实验中基站和移动用户电网之间存在堵塞,平均信号路径为35 m,RIS在超过75 m2的面积内提供了平均6 dB(最大8 dB)的信噪比改善.
Sang等[140]报告了世界上第一个关于RIS在当前5G商业移动网络中增强覆盖性能的现场试验,这些试验是首次在城市场景中使用制造的RIS进行的.现场试验结果表明:将RIS部署到现有的中国移动(江苏)5G通信网络中,在扩大覆盖范围和提高吞吐量等方面,让用户体验得到了显著改善,这可能是进一步广泛应用前景的证据.
综上所述,研究者们设计了多个实验验证了RIS在无线通信中的信号覆盖增强作用,以及RIS与其他技术结合实现更多的功能.研究者们实现了基于RIS的MIMO系统数据实时传输,实现了非视距链路通信传输与信号盲点覆盖,以及使用RIS进行波束形成,实现了方向性增益.此外,研究者们尝试使用RIS解决一些拓展性的问题,如使用RIS解决SISO定位问题;将RIS与视觉技术结合实现动态的波束追踪等.实验结果表明:RIS可以实现较高的天线增益,提升信号强度,并且在增加信噪比、改善路径损失和扩大覆盖范围方面都具有很大的潜力.通过RIS的部署和调控,可以提升无线通信性能、扩展覆盖范围,改善用户体验.这些研究结果为RIS在未来的广泛应用前景提供了有力的证据.
2.4 系统测试——时空调制
除了信号覆盖,用于时空调制的原型机系统近年来也被研究并进行了相关的实验测试.

Dai等[141]为了利用智能超表面实现对谐波幅度和相位的独立调控,进行了两个实验.实验基于一个大小为8✕8个单元的反射时域数字编码超表面,每个单元都装载了变容二极管.通过调节二极管的偏置电压,阵元的相位响应可以在宽相位范围(~270°)内精确地调整.

两个实验均在3.7 GHz处进行,实验一使用两个喇叭天线分别照向RIS和接收反射信号.利用微波信号发生器和频谱分析仪分别通过相位稳定电缆连接到喇叭天线,在广谱范围内监测不同的偏置电压与不同的变化周期时超表面的非线性特性,并与理论计算进行对照.实验结果表明:设置的不同的偏置电压使超表面对谐波的幅值与相位产生影响.而不同的变化周期可以对谐波间的频率间距产生影响.实验二用时延0(0 μs)和T/2(3.2 μs)分别表示相位相反的编码元素0和1,超表面中所有列的反射相位可以用0和1位的编码序列来描述.分别对于编码为00000000,00001111和00110011这3种不同的超表面,沿法线方向测量定向散射光束的正一阶谐波,结果(图22)验证了不同的时空编码可以改变谐波的散射模式.通过改变偏置电压组合,可以实现如图22中红色、绿色和蓝色线的散射幅度的衰减,而不改变谐波的散射模式.

图22  正一阶谐波的散射[115]


Zhang等[60]提出了一种能打破洛伦兹互易的2-bit时空编码RIS在空间和频域进行分离波反射.他们通过适当地设计时空编码序列,证明了RIS持一个时空相位梯度,打破时间反转对称并诱导非互反波反射.为了验证非互反效应,作者设计了一个由16✕8单元组成的2-bit时空编码可编程超表面(RIS).超表面的每一列由8单元组成,共用一个控制电压,每个单元使用两个PIN二极管将六角形贴片与两条偏置线连接,单元的参数设计为当两个PIN二极管在OFF-OFF,ON-OF,OFF-ON和ON-ON状态之间切换时获得90°相位差,分别对应于0,1,2和3这4个编码状态.反射系数测试表明在9.5 GHz频率下,相邻2-bit编码态之间的相位差约为90°,响应幅值超过0.79.验证实验在微波消声室中进行.制作的原型首先由沿θ1=34°(端口1)方向放置的发射(Tx)喇叭天线照亮,激励信号为9.5 GHz.图22(c)显示了正向场景下的散射模式,主要反射波束频率为9.501 25 GHz,角度约为0°.对于时间反转场景,即当原型被沿θ2=0°方向(端口2)放置的Tx喇叭天线照射,激励信号频率为9.501 25 GHz时,主反射波束频率为9.502 50 GHz,角度约为34°.测量设置检查频谱功率分布,可以清楚地在频域观察到非互反效应.

Zhang等[142]提出了一种基于2-bit时域编码RIS方法,在中心频率或谐波频率上实现多-bit甚至准连续相位调制.通过引入矢量合成方法,设计适当的2-bit时间编码序列,等效相位可以合成为具有360º相位覆盖率的任意值.此外,在波束转向应用中,采用16组时间编码序列生成等效的4-bit相位,显示出减少量化叶的优势.该文献设置了两个实验,实验一通过设定的时间编码序列,使2-bit可编程超表面(RIS)在中心频率上获得4-bit数字相位(理想的16种状态:-180º,-157.5º,-135º,-112.5º,-90º,-67.5º,-45º,-22.5º,0º,22.5º,45º,67.5º,90º,112.5º,135º和157.5º).实验二使用原始2-bit编码相位与合成等效4-bit编码相位在中心频率处分别进行波束转向,对比这两种情况下的散射模式.实验所用原型上单元由一个不规则的六角形金属片和两条印刷在接地F4B衬底上的金属条组成,厚度为1.5 mm.使用2个PIN二极管将六角形贴片与2条矩形条带连接起来,作为二极管的偏置线.当2个二极管在OFF-OFF(00),OFF-ON(01),ON-OFF(10)和ON-ON(11)4个状态之间切换时,相邻编码态之间的相位差约为90º,在9.5 GHz左右,对应的振幅均在0.79以上.实验所用原型由两个独立的样本组成,每个样本有8个列和8个连接的元素.实验一等效相位结果如图23所示,图中等效的4-bit相位仍可以覆盖中心频率为10 GHz的-180º到180º范围.由图24可见:具有等效4-bit相位的时域编码RIS在10 GHz下具有更好的波束转向性能,其旁瓣比原来的2-bit情况要低得多,图中ωc=10 GHz.此外,在谐波频率处的散射功率被很好地抑制. 

图23  等效相位结果[142]

图24  电磁波散射方向图[142]


 Zhang等[143]提出了一种基于时空编码RIS的信息编码方案,该方案可以在空间和频域控制电磁波.实验中使用OOK调制,定义载波即一阶谐波的低功率代表二进制符号0,载波的高功率代表二进制符号1,同时且独立地实现了向不同方向的两个用户传输了不同的图像.图25给出了设计出的用来进行调制的四种时空编码矩阵以及一阶谐波幅值理论模拟.实验结果展示了利用RIS可以实现同时且独立的向不同位置的两个用户传输两张不同的图片.

图25  4种时空编码矩阵及对应的一阶谐波幅值[143]


 Rajabalipanah等[144]设计了一个可重编程时空数字超表面(RIS)处理器,搭建基于RIS方法的模拟计算平台.该平台通过应用适当的时域编码信号,使RIS能够在特定的谐波频率上动态地实现与所选算子相关的传递函数的所需相位和振幅.通过实验给出了一些例子证明所提出的RIS处理器在执行各种数学运算和功能方面的通用性,如积分、微分、实时边缘检测等.

采用了RLC模型(R=0.8 Ω,L=0.7 nH,电容是可控的)在中心频率周围的全波模拟中电路表示变容二极管.在变容二极管上施加不同电压水平时表现出恒定π/2相位差的4个元原子,分别表示00,01,10和11编码状态的反射响应.该实验对比了一阶空间微分等算子的实际实验结果与理论计算结果,发现实际与理论基本相符.图26为实验利用模拟传递函数对“Iran China”字样及3个矩形形状(图26(a))和“蝴蝶”图片(图26(c))进行一维空间滤波,作为2个不同的图像照亮时空RIS.如图26(b)和(d)所示,实验实现了归一化输出场,成功地以相同的强度在水平方向上完全显示了入射图像的所有轮廓.

图26  利用模拟函数对入射图像进行恢复[144]


 一种毫米波空时编码RIS系统[145]集成了到达方向估计和场操作的功能,能实现估计入射角和时空编码调制.文献[145]首先制作了一个工作在K波段的1-bit空时编码可编程超表面(RIS),利用3种不同的时空编码矩阵来评估其测向能力.实验表明:所设计的空时编码矩阵对入射角的估计误差小于3°.图27给出了实验中反射信号中测向谐波的频谱,表明测向的奇谐波测量结果与计算结果较为相符.此外,在所有情况下,估计的角度和值与实际值非常接近,绝对误差小于3º.结果表明:对于所有3个STC矩阵的小入射角,估计结果与实际值具有良好的一致性.但当入射角较大时,估计误差迅速增大.此外,结果表明3种时空编码矩阵的精度略有不同.

图27  测向谐波信号频谱[145]


总而言之,除了信号覆盖,基于RIS的时空调制方面的研究也如火如荼.RIS与时空调制的结合将RIS的自由度从空间域扩展到了频率域,使得不但可以在空间域内控制电磁波的散射或辐射特性,还能在频率域控制电磁波的频谱分布特性.当然,借助时空调制,RIS也可以实现一些拓展性工作,如将RIS与时空调制结合打破洛伦兹互易,实现具有360º相位覆盖率的任意值的相位合成,基于RIS的时空调制在各种数学运算和功能方面的通用性等.这些研究成果均为时空调制的应用提供了有力的实验证据,展示了RIS在通信和计算领域的潜在应用价值.


3

本研究实验测试

为了验证RIS辅助的实验系统的有效性,设计了微带天线式的RIS原型机,如图28所示.在通信场景测试中采用的波束赋形方法是离散优化算法(DaS)[146],该算法是针对RIS系统离散性提出的波束赋形算法,首次在低-bit情况下能以线性计算复杂度得到一个全局最优解.并进行了多跳RIS实验测试、多块RIS辅助成像测试及室内信号覆盖增强实验.实验所用到的单块RIS板是10✕16(共160个阵元),面积为400 mm✕265 mm.

图28  5.8 GHz RIS原型机系统

3.1 多跳RIS实验

      隧道和矿洞等狭长弯曲的空间中信号质量较差.RIS多跳方式多次传播反射信号能够实现狭长、弯曲空间的信号覆盖增强,其实验示意图如图29所示,图中:Tx表示发射天线;Rx表示接收天线.本实验利用USRP发送和接收信号,多块RIS实现了类似中继的功能.

图29  多跳RIS示意图

实验场景如下,信号发射喇叭距离RIS1的中心为0.65 m,RIS1,RIS2,RIS3和接收喇叭相距分别为2.55,2.70,2.85和1.00 m.每块RIS均平行放置,其中RIS1和RIS3放置于同一侧,RIS2和RIS4放置于另一侧.4块RIS板中心连线与智能超表面垂面夹角分别是54.48°,58.09°和50.30°.喇叭发送信号方向与RIS1夹角呈30°,喇叭接收信号方向与RIS4垂直.
根据DaS[146]模拟生成每块RIS板的波束赋形相移矩阵,利用无线通信将计算出的最优相移矩阵赋值给每块RIS板,实现每块RIS板到下一跳RIS中心的波束赋形.其中,因为喇叭天线的定向性,在不放置RIS板前,发射端与接收端之间没有直射路径,接收端接收到的信号强度比较弱,仅为-66 dBm,在放置多跳RIS板传递信号以后,建立了有效的信号链路,信号强度增强到-37 dBm,信号增益为29 dBm.结果如图30所示.

图30  无RIS辅助下(-66 dBm)和4块RIS辅助下(-37 dBm)的接收信号强度

此外,还测试得到了在各块RIS放置前后信号强度的变化值(其中RIS1无须测量,因为信号源到RIS1链路上没有RIS增益),具体结果如图31所示.RIS2所处位置在RIS1最优赋值前后信号强度由-32 dBm提升至-14 dBm,增益为18 dB,当RIS2,RIS3和RIS4依次最优赋值后,RIS3,RIS4和接收端信号依次由-34.5 dBm变为-25.5 dBm,由-35 dBm变为-35 dBm,由-60 dBm变为-37 dBm,增益依次为9 dB,0 dB和23 dB.上述结果表明:大多数情况下RIS在最优赋值之后能提供较大的信号增益.值得注意的是,在上述测试中RIS3在完成波束赋形后,RIS4处的信号没有增益.为了探究RIS3是否为镜面反射造成了上述现象,进一步测试了图31所示的各点信号强度.

图31  各节点的接收信号功率变化

图31(a)中如果将RIS4出射角由0°连续调整至49°,并保持接收端到RIS4中心距离固定,接收信号前后强度增益由23 dB降至0 dB,此时接收信号强度为-38 dBm.如果固定距离为2.70 m,接收信号强度变为-44 dBm.同时,RIS4在反射角为49.45°时完成波束赋形后接收信号功率没有增益.

      当把RIS3移动替换RIS4,此时反射角73.50°,控制RIS2波束赋形至新的RIS3位置,信号由-43.9 dBm提升至-35.1 dBm.这与调整前RIS4获得的增益-35 dBm接近.因此,保证在等效距离下实现相同信号功率增益时,通过合理的设置信号反射角可以达到减少RIS数量的目的.综上所述:多跳RIS可用于辅助隧道、矿山等空间狭窄场景的无线通信,接收到的信号功率增益显著;从第三跳RIS开始,RIS板在镜面反射角方向或接近镜面反射角方向的接收信号增益为0;在相同增益下,通过增大反射角度可以减少RIS板放置的数量.

3.2 多块RIS辅助的成像实验
智能家居和健康医疗中,人们更希望在不侵犯他人隐私的情况下实现远程监护被看护人行为和生理状况.无线成像具有良好的隐私性,同时可以弥补光学在光线较弱或视线遮挡时无法成像的短板.在近些年的研究中,无线感知技术实现了定位、跟踪、姿态识别和呼吸监测等[151].但由于传统的无线感知受限于被探测人员须要穿戴感知设备,因此同时很难实现对人体具体部位的精确感知.
RIS辅助的无线成像系统能够实时探测空间中人体被动探测,同时可以聚焦感兴趣的任意局部身体部位,呈现更加清晰的感知图像.本实验搭建了基于RIS的成像验证系统,感知成像系统如图32所示.该系统基于5.8 GHz的Wi-Fi频段进行感知成像,定向天线Tx和RIS板中心高度一致,均为1 m.定向天线Tx距离RIS板中心1 m,入射角度为45°.RIS正前方2 m处是探测空间(SOI,space of interest)0.5 m×1.0 m×1.8 m,将定向天线Rx放置在SOI前方1.5 m处,高度为0 m.利用RIS的波束赋形将接收到的信号反射至SOI区域中,Rx接收到SOI区域中反射或散射的信号,判别该区域是否有物体存在.其中,RIS具有10×32个单元.

图32  RIS成像验证实验

首先将SOI空间离散为X×Y×Z=N个点,每个点的索引记为n.RIS对SOI空间中离散的各点波束赋形,将设计出的波束赋形相移矩阵的编码赋值给RIS控制,使该点信号强度达到最大.
实验中,我们使用贪婪算法对RIS相移矩阵进行搜索,得到了每个空间点对应的最佳相移矩阵,记为An.按照图32实验设置,将Rx放置在SOI前1.5 m,调用最佳相移矩阵对SOI空间中进行波束赋形,通过Rx获取SOI中各点反射回的信号强度对各点进行成像.
将SOI各点离散成了5×10×19的空间.其中图33为第一个垂直的各离散面对应的最佳相移矩阵.图34为没有人体存在与SOI区域内的成像,当SOI区域内无人体时,空间反射的信号强度较低.图35为遍历一次最佳相移矩阵后Rx天线接收到的信号强度.因SOI区域存在人体空间反射的信号强度更高,故图35中黄色区域对应较强的反射信号.

图33  SOI离散点对应的最佳相移矩阵

图34  无人体的成像

图35  弯腰姿势的成像

利用RIS辅助成像可以更好地对空间的物体进行更细致的探测.实现无线电波的场景重建、肢体识别或成像通常是一种典型的非线性电磁场的逆问题,利用常规方法对复杂电磁环境进行建模与分析也是一件非常困难的事情.后续可以结合深度学习网络进行图像的超分辨增强,实现更清晰的成像.
3.3 室内信号覆盖增强实验
室内Wi-Fi信号覆盖增强测试场景如图36所示,该实验在场地为5×7×6 m3的微波暗室中完成.本实验使用支持3 000 Mbit/s Wi-Fi 6的华为荣耀XD3路由器作为无线信号发射端,选用支持5.8 GHz频段,阵元数为10×16的RIS放置在暗室门口处完成信号覆盖增强.首先测试未安放RIS时环境中的信号强度.PC端运行NetSpots软件,实时记录下在8个采样点位的Wi-Fi信号强度,利用信号强度绘制整个房间热力图,如图37所示.其中37(a)由于缺少路由器到红圈区域的直射链路,其信号强度小于70 dB.针对这一问题,使用基于DaS算法[120]将RIS波束赋形至相距350 cm,夹角45°的区域,实现信号增强.

图36  单RIS辅助的信号覆盖增强

图37  暗室信号覆盖热力图

经过波束赋形后,再次使用NetSpots测量了全部采样点位的信号强度,结果如图37(b)所示.与没有放置RIS前相比,经过RIS波束赋形覆盖的区域信号SNR平均提升超过10 dB;同时,与仅放置关闭状态的RIS (RIS单元中全部二极管处于未导通状态)相比,该覆盖区域信号SNR平均提升了5 dB.
暗室中央控制台导致部分区域存在非直射链路.为近一步提高信号覆盖,增强盲点信号强度,提出了双跳信号中继算法,实验场景如图38所示.其中,将基于DaS的波束优化算法应用在了RIS1到RIS2聚焦及RIS2到盲点信号覆盖中.使得RIS2对2.9 m处区域进行信号补盲.热力图结果如图39所示,相比于单RIS覆盖,经过双跳RIS覆盖后盲点区域的信号强度能够提升8 dB以上.

图38  双跳RIS辅助的信号覆盖增强

图39  双跳RIS覆盖实验信号分布热力图


4

总结与展望


主要梳理和总结了现有的RIS单元发展历程以及原型机的设计,对其中的主要外场测试做了分析.提出了现有RIS系统存在的不足.而对于解决这些问题,展望了未来的可研究方向.

 A.单元设计角度

 a.区别远场近场的单元设计.以往的单元设计多是考虑远场,但是在室内,基本都是近场的应用场景,比如智能家居等.研究近场和远场的电磁分布理论,分析远近场单元设计影响因素,可以有效地提高室内场景下RIS系统的效率.

b.多功能的单元设计,如反射、透射、吸收.目前的RIS单元功能还比较单一,主要是反射电磁波的工作模式,根据不同需求设计单元功能属性,增加同一单元的多功能性结构设计可以使RIS高效地适用于不同的场景.

c.高频单元设计.频率越高,电磁单元的鲁棒性越弱,在毫米波乃至太赫兹甚至于更高的频段,对于单元设计所需要的二极管等单元的电磁特性以及单元结构稳定性、精细度都有着更高的要求.

d.高带宽单元设计.当前的单元设计频带较窄,往往只适用几十兆甚至单个频点,以至于在实际应用中当应对不同频段要求时须要设计不同的RIS单元结构.此外,通信频率也在朝着更高频发展,这也意味着更宽的通信频带.目前对于超高的带宽要求,还缺少稳定性能的单元设计.

e.随机的和超稠密的单元设计.当前RIS单元设计大多是规则的,且多遵循λ/2大小原则.类比时域的高频采样,空域内的高频采样表现为超稠密的RIS单元.在固定空域面积内密集化RIS单元可以提高采样率,增强信噪比.此外随机性阵元所具有的统计特性,可在某些场景中被利用而快速响应并发挥作用,比如广域信号覆盖.

f.材料本身上的突破.液晶、有机玻璃等适用于窗户等特殊介质体上RIS单元设计的新型材料研发也是一个重要的方向.

B.RIS原型机系统角度

a.系统性能界的理论推导和验证.目前的大多数RIS系统只是利用单个或者数个RIS初步实现了简单的信号增强等功能,还尚未实现大规模应用及多RIS协同等其他复杂的功能.

对于单个RIS辅助通信系统的理论性能极限,以及各方面性能与RIS物理参数之间的关系还有待研究.此外,大规模RIS网络系统中的信道容量、吞吐量等参数指标缺乏合适的理论建模与分析.当大规模RIS随机分布时,如何计算系统容量,以及从信息论角度,如何采用合适的编码方式使得RIS系统的系统性能逼近香农极限等传统极限标准,也是尚未被研究的问题.在未来大规模RIS网络环境下,将推导理论与实际相结合,有利于提升RIS原型机系统性能,在一定程度下逼近理论极限.此外,针对多用户场景,在高信噪比下,信道里的噪声对容量影响有限,而用户间信号的相互干扰是影响容量的主要因素.从理论上讲,将RIS的相位调控和破零、干扰对齐等干扰管理策略相结合,可以大幅度提升系统自由度[148-151];当无源RIS中单元数足够大时,可以近乎完美地消除用户间的干扰[149-150].如何RIS原型机设计与干扰管理策略相结合,在实际多用户通信环境中消除干扰是未来亟需解决的问题,对改善未来海量用户连接下的无线通信网络质量起着重要作用.

b.特殊结构的RIS原型机的性能特点及应用研究.现有实验研究表明:某些RIS原型机具有很明显的特点,比如1-bit RIS会固定在两个方向形成对称的波束,对于这种经典且有特点的现象有待从理论和实验上进行深入研究.

c.可调相移分辨率的RIS原型机设计.由于硬件结构的限制,单个单元对于入射电磁波造成的相移往往是离散的,但是对于RIS原型机,可以通过不同单元的分块配合及可控耦合设计实现连续相位变化的超单元,进而构成相移分辨率任意可调的RIS原型机,以应对在某些对于精确度要求非常高的场景.

d.基站和RIS原型机的协同设计.目前的理论和实验结果透露出,当RIS离基站或者用户较近时,能获得的性能增益也较强.但是我们实验结果发现,越近并不意味着增益越高,这跟RIS表面的孔径场分布不均匀有关,而且用户的位置往往是不固定的,所以RIS和基站协同设计的原型机是很有必要研究的.但是,RIS和基站如何协同,怎么确定两者间的距离、角度、面积比例等参数仍没有比较准确的模型及理论.

e.波束赋形算法设计.当单个RIS辅助通信时,波束赋形的目标往往是最大化目标接收信号功率(或者信干噪比)或者是传输速率.但是当多RIS协同工作时,整个系统的容量提升是主要的目标,此时波束赋形并不是各个RIS的简单叠加,多RIS协同配合往往有更为突出的性能体现.此外,在多跳场景中,往往希望每一个反射节点的效率最大化.因此多RIS的协同波束赋形算法研究也是一个重要的研究方向.

f.大规模RIS网络的优化.未来的RIS网络注定是一个非常庞大的网络,多RIS接入互联网,如何在物理层、网络架构及协议之间实现多RIS协同也是一个值得研究的问题.

g.与其他系统的功能融合.在多元化的信息社会,RIS原型机作为基础设施可以和已知的其他系统进行功能融合,实现更好的用户体验,比如通感一体化、泛在智能、虚实融合通信等.


END

近期新闻